Direito ou privilégio?
Por Daniel Mello, Eliane Gonçalves, da Agência Pública – Quase 80% dos membros do MPSP recebem acima do teto constitucional: vale-livro, auxílio-moradia e supersalários somam até R$ 130 mil por mês. Em setembro, o governo de São Paulo encaminhou para a Assembleia Legislativa do Estado a proposta de orçamento do Ministério Público (MP) para 2017.
Por Daniel Mello, Eliane Gonçalves, da Agência Públi ca –
Quase 80% dos membros do MPSP recebem acima do teto constitucional: vale-livro, auxílio-moradia e supersalários somam até R$ 130 mil por mês.
Em setembro, o governo de São Paulo encaminhou para a Assembleia Legislativa do Estado a proposta de orçamento do Ministério Público (MP) para 2017. A previsão é destinar R$ 2,3 bilhões para manter funcionando a estrutura criada para defender os direitos dos cidadãos paulistas. Um orçamento três vezes maior do que o previsto para a Secretaria de Cultura e o dobro do que será destinado para pastas como Agricultura, Meio Ambiente ou Habitação. É com esse dinheiro que o MP vai cobrir gastos com água, luz, telefone, salários – e os polpudos benefícios destinados a procuradores e promotores.
A remuneração inicial de um promotor público em São Paulo é de R$ 24.818,71. Na última etapa da carreira, o procurador de justiça, o salário chega a R$ 30.471,11. São valores que seguem o teto constitucional: promotores e procuradores paulistas recebem, no máximo, 90,25% do salário de um ministro do Supremo Tribunal Federal.
Mas os vencimentos não terminam por aí. Somam-se benefícios como vale-alimentação, auxílio-moradia, auxílio-livro, auxílio-funeral, pagamento de diárias, remunerações retroativas, duas férias anuais. A Lei Orgânica do Ministério Público de São Paulo, de 1993, prevê 16 auxílios extras que, apesar de serem considerados legais, ajudam a ultrapassar, em muito, o teto constitucional.
Na prática, dos 2015 membros do MPSP que receberam salário em outubro, 1243 receberam a partir de R$ 38,900, ou seja, 61,7% do total. É um valor acima dos R$ 33.763 pagos aos ministros do STF, mais os extras. Se prosperar o entendimento de que “teto é teto” e os “extras” não deveriam estar nem na conta dos ministros do Supremo, a proporção de promotores e procuradores que receberam acima do teto constitucional sobe para 79,8%. Foram 1.608 promotores e procuradores que receberam mais do que o salário teto de R$ 33.736.
Estímulo à leitura
A Comissão foi instalada, em novembro, no Congresso Nacional, para propor um fim aos “supersalários” de funcionários públicos.
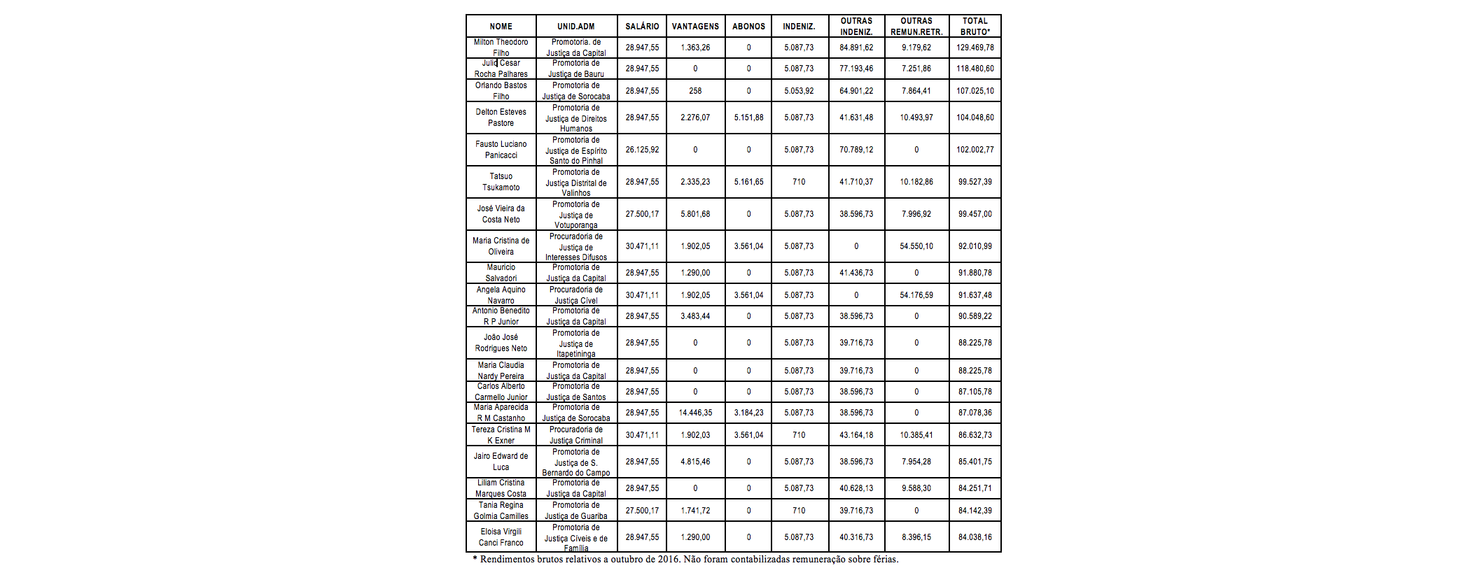
A folha de pagamento do MPSP de outubro é repleta de exemplos de “supersalários”. Naquele mês o promotor de justiça de entrância final Milton Theodoro Filho, lotado na capital, recebeu o maior valor da folha: R$ 129.469,78. Foram R$ 28.947,55 de salário bruto (sem descontar a contribuição previdenciária e o imposto de renda) e R$ 89.979,35 de indenizações (incluídos R$ 5.087,73 auxílio-moradia e vale-alimentação). Além disso, há mais R$ 9.179,62 de valores retroativos da Parcela Autônoma de Equivalência (PAE), resultado de uma decisão de 1992 do Supremo Tribunal Federal (STF) que equipara os salários do Judiciário com os do Congresso Nacional.
No mesmo mês, o promotor Julio César Palhares, que serve em Bauru, no interior paulista, recebeu R$ 118.480,60. Desse montante, R$ 28.947,55 referem-se ao salário bruto, R$ 82.281,19 a indenizações não discriminadas, à exceção de R$ 5.087,73 de auxílio-moradia e vale-alimentação.
Orlando Bastos Filho, promotor em Sorocaba, foi o terceiro membro com maiores vencimentos no mês, recebendo R$ 107.025 brutos. Nesse valor estão incluídos R$ 64.901,22 de indenizações não discriminadas e R$ 7.864,41 retroativos da PAE. Em 2015, Bastos Filho acirrou os ânimos dos vereadores do município ao iniciar uma investigação sobre seus gastos com despesas de telefone, carro oficial e itens de escritório.
O professor de ética e filosofia política na Unicamp Roberto Romano estuda o poder Judiciário e defende o papel do MP como instituição de garantia da democracia brasileira. Mas critica: “Eu acho que o Ministério Público, justamente porque é o zelador da lei, o fiscal da aplicação da lei, deveria renunciar a esse tipo de acréscimo ao seu salário, sobretudo porque não corresponde à experiência de todos os demais funcionários do estado”.
As informações sobre os rendimentos dos membros do MP estão disponíveis no Portal da Transparência. Veja abaixo a lista dos 20 membros mais bem pagos do MP paulista em outubro:
Para Antônio Alberto Machado, promotor aposentado, as altas remunerações do MP estão diretamente associadas a práticas conservadoras: “As carreiras jurídicas, em geral, se tornaram muito atrativas de algumas décadas para cá. Há 40 anos não era assim. Isso fez com que os membros dessas carreiras tivessem um padrão remuneratório equivalente ao que a gente chama de classe A. A leitura que eu faço é que essas carreiras jurídicas estão ‘sitiadas’. Foram tomadas por essas classes média, média alta, classe alta que têm um valor de mundo conservador e que estão julgando as classes de baixo”.
Promotores e procuradores têm a prerrogativa de legislar sobre os próprios vencimentos. Alguns dos valores e critérios para o pagamento de cada um desses extras são definidos por resoluções e atos normativos que cabem ao procurador-geral de justiça do estado. Foi um ato normativo de 2003 que definiu, por exemplo, que o valor de uma diária corresponde a 1/30 do salário bruto de um promotor em início de carreira. Em 2016, corresponde a R$ 827,30. O valor extra é pago quando o promotor tem de substituir um colega de trabalho.
Um ato normativo de 2014 definiu que promotores e procuradores cedidos para outros órgãos continuam tendo direito a receber o auxílio-moradia. Trata-se de um complemento à lei orgânica que já garante que membros do MP que se afastem do cargo para ocupar cargos eletivos, por exemplo, possam continuar recebendo os vencimentos do órgão se abrirem mão do outro salário. É o que garante ao deputado Fernando Capez continuar na folha de pagamento do MP. A troca vale a pena. Enquanto um deputado estadual tem remuneração de R$ 25.322,25, os vencimentos de Capez em outubro chegaram a R$ 40.497. Como secretários do governo de São Paulo, os procuradores Mágino Barbosa e Elias Rosa receberiam R$ 19.467,94. Porém, ao manterem os salários do MP, eles receberam, em outubro, respectivamente R$ 56.911,63 e R$ 47.685,94.
Auxílio-moradia
O maior benefício é o auxílio-moradia, no valor de R$ 4.377 mensais. A ajuda financeira foi autorizada por meio de liminar do ministro do STF Luiz Fux em setembro de 2014 e se estende a membros da magistratura e dos ministérios públicos de todo o país. À diferença do que ocorre com todos os outros funcionários públicos – até mesmo dos congressistas –, o benefício se destina também para quem tem residência própria e vive na mesma cidade em que atua. Ficam de fora apenas aposentados e licenciados.
Segundo a folha de pagamento de outubro de 2016, disponível no Portal da Transparência do MPSP, dos 2.084 promotores e procuradores públicos na ativa, pelo menos 1.593 recebem o auxílio (76%). O custo anual para os cofres públicos é de aproximadamente R$ 69,7 milhões. O valor daria para atender mais de 14 mil famílias com o programa Auxílio-Aluguel da prefeitura de São Paulo, de R$ 400 mensais.
Mas a despesa não fica por aí. O adicional foi tratado como retroativo pelo ministro Luiz Fux. Assim, promotores e procuradores tiveram direito a receber os “atrasados” dos cinco anos anteriores à liminar, ou seja, desde 2009. Para a maioria da classe, isso significou uma bolada de mais de R$ 262 mil que vem sendo paga em parcelas regulares desde então.
Outro auxílio que ajuda a compor o orçamento anual dos promotores é o auxílio-livro. Uma ajuda extra de até R$ 1.700 por ano, criada em 2010 com o objetivo de garantir a atualização técnica dos promotores e procuradores.
Entre 2010 e 2013, o advogado Rodrigo Xande Nunes trabalhou como oficial de Promotoria dentro do MP, cuja tarefa era solicitar verbas indenizatórias para os promotores e procuradores que assessora. “Bastava o promotor apresentar uma nota fiscal de qualquer livraria com a descrição ‘livro’ para assegurar o reembolso. Vi livros de doutrina jurídica que iam parar nas mãos de sobrinhos do promotor que estavam cursando faculdade de direito, ou romances virarem presentes de aniversário”, lembra.
giffinal
Privilégios nos detalhes
Depois de ter deixado o cargo de oficial de Promotoria, Rodrigo Xande seguiu carreira como advogado. É justamente por estar do lado de fora que ele se dispõe a falar o que pensa sobre os benefícios, que acredita afastarem a categoria da realidade dos brasileiros: “É impossível garantir direitos para quem vive cercado de tantos privilégios”, argumenta.
Uma das instituições mais aguerridas na defesa de benefícios é a Associação Paulista do Ministério Público (APMP). O escritório da associação ocupa o 11º andar da sede do MPSP e é presidida pelo ex-candidato a procurador-geral Felipe Locke. Procurado pela Pública, ele não concedeu entrevista para a reportagem.
O presidente da APMP tem, no entanto, se posicionado publicamente sobre o tema. Segundo texto publicado na página da associação em outubro, sobre a Proposta de Emenda à Constituição (PEC) 62 que derruba a vinculação automática dos salários de agentes públicos à remuneração dos ministros do Supremo, ele escreveu: “Sem recursos nossas instituições não funcionam e sem Ministério Público e a Magistratura, corrupto não vai para a cadeia. Esses projetos têm o mesmo objetivo da PEC 37 [proposta derrubada pelo Congresso que propunha limites ao poder de investigação de promotores e procuradores], acabar com o poder de investigação, deixando os corruptos à solta”.
Ao mesmo tempo em que a APMP faz campanha contra a PEC 62, também exerce pressão pela aprovação do Projeto de Lei Complementar (PLC) 27, que eleva os salários dos ministros do Supremo para R$ 39,2 mil em janeiro de 2017. Mas nestes tempos em que o governo federal fala em limitar gastos públicos, a luta corporativa da APMP ficou mais difícil.
Mais direitos
Agora, a nova demanda da classe é garantir ainda mais benefícios.
A Assembleia Legislativa de São Paulo (Alesp) discute, em regime de urgência, o pagamento de planos de saúde de caráter vitalício para os membros do MPSP. O Projeto de Lei Complementar (PLC) 52/2015 foi apresentado pelo então procurador-geral Márcio Elias Rosa e acolhido pelo então recém-eleito presidente da Alesp e promotor afastado Fernando Capez. O PLC 52 já foi aprovado pelas Comissões de Constituição e Justiça e de Finanças, Orçamento e Planejamento e está pronto para ser votado pelo plenário desde dezembro de 2015.
Promotores e procuradores querem também a extensão do auxílio-moradia para seus colegas aposentados. Em outubro de 2015, o Colégio de Aposentados da APMP reiterou o pedido que já vem sendo feito desde 2013 à Procuradoria-Geral, apelando para o princípio da simetria para justificar a ampliação da benesse.
Em novembro de 2015, o MPSP fechou um contrato para o fornecimento de copinhos de água mineral para a instituição. Ao custo de R$ 71.724, garantiu o fornecimento de 11.904 copinhos de 200 ml com água mineral por mês, durante um ano. Porém, o produto é usado para a hidratação apenas de parte dos servidores, os promotores e procuradores. A regra, em vigor desde 2011, ganhou forma em um comunicado interno da diretoria geral do órgão .
Restrições como essa raramente ganham redação oficial, mas são frequentes no cotidiano do MPSP. Passam pelos lanches – frutas, sucos e biscoitos, comprados com dinheiro público e que também são restritos aos promotores e procuradores –, pelas vagas nas garagens e pelo uso de elevadores.
As diferenciações são tão grandes que os “outros” funcionários costumam brincar que, se uma pessoa do século 19 pudesse viajar no tempo, o lugar que se sentiria mais à vontade seria o MPSP. “Eu já cheguei a falar para um procurador que a época da escravidão passou, que a ditadura também passou. Tem membro [do MPSP] que, se pudesse colocar o servidor no tronco e dar um surra, ele faria isso”, critica Jacira Costa Silva, oficial de promotoria desde 1989 e presidente do Sindicato dos Servidores do MPSP. A sindicalista enumera situações em que funcionários tiveram de lavar carros e até pagar contas pessoais dos promotores. (Agência Pública/ #Envolverde)
* Publicado originalmente no site Agência Pública .
Foto: Flickr/Juan Felipe Gonzalez






